Муниципальное бюджетное общеобразовательное учреждение «Карамышевская основная общеобразовательная школа имени Героя Советского Союза Бари Габдрахмановича Габдрахманова» Черемшанского муниципального района Республики Татарстан
Визитная карточка
| Адрес: | 423119, Республики Татарстан, Черемшанский район, с. Карамышево, ул. Школьная, д. 8 |
| Телефон: | +7(843)-964-22-46 |
| E-Mail: | karamyshevo.school@tatar.ru |
| Министерство: | Министерство образования и науки Республики Татарстан |
| Короткое название: | МБОУ "Карамышевская ООШ им.Бари Габдрахманова" |
| Руководитель: | Якупова Гольнур Фатыховна |
| Год основания учреждения: | 1982 |
| У нас учатся: | 27 учеников |
| У нас учат: | 12 учителей |
ФГОС-2021
Федеральные документы
- Приказ Министерства просвещения Российской Федерации от 31 мая 2021 г. № 286 «Об утверждении федерального государственного образовательного стандарта начального общего образования»
Региональные документы
Документы школы
Приказ №15Об утверждении плана мероприятий (дорожной карты).
Приказ№16 О создании школьных лабораторий по формированию функциональной.
Приказ№22 О переходе на обучение по.
Приказ№23О разработке основной образовательной
Приказ№24 Об утверждении основной образовательной программы начального общего образования.
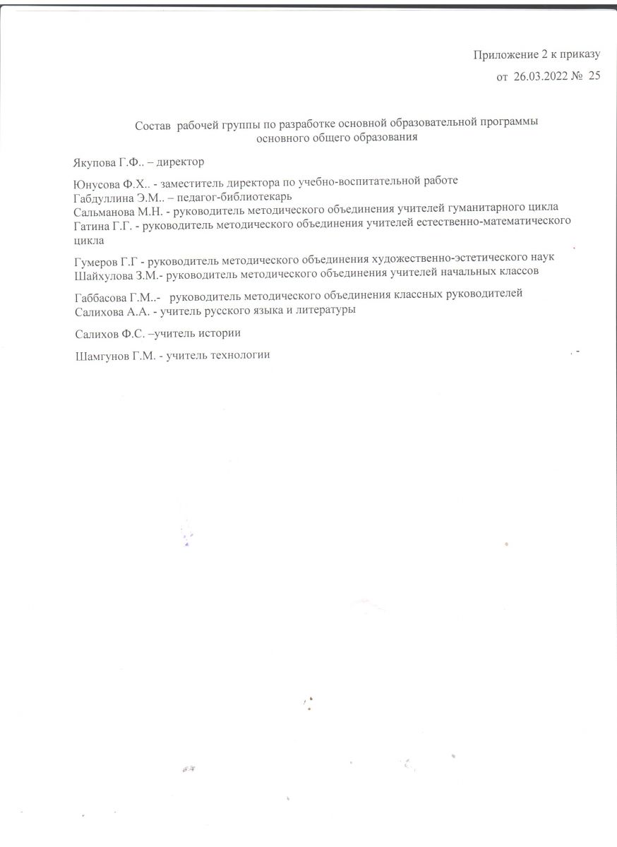
Приказ№25О разработке основной образовательной.
Приказ№26 Об утверждении основной образовательной программы начального общего образования.
Приказ №29 Об утверждении плана внеурочной деятельности.
Приказ №30 О включении во внутреннюю систему оценки качества образования м.
Приказ№33Об утверждении должностных инструкций педагогических работников.










