Муниципальное бюджетное дошкольное образовательное учреждение «Детский сад общеразвивающего вида №11»
Визитная карточка
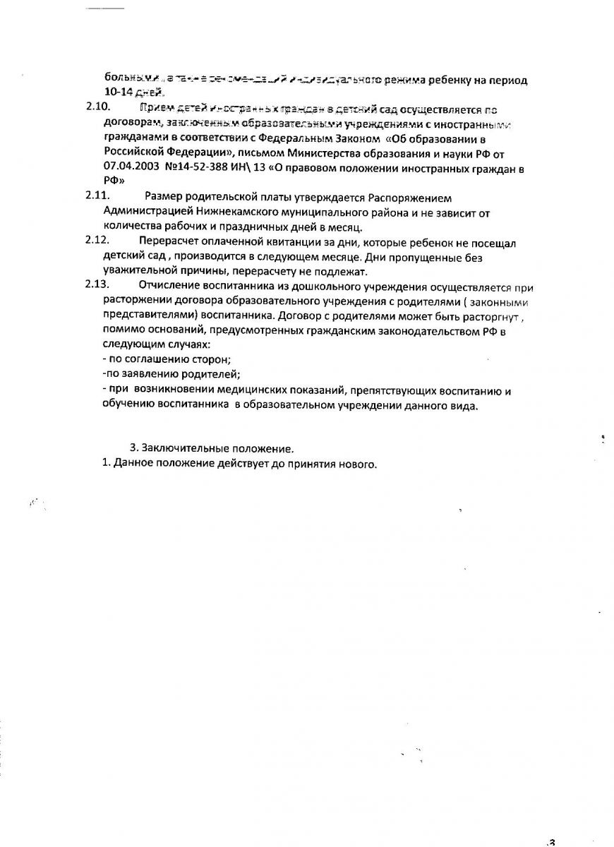
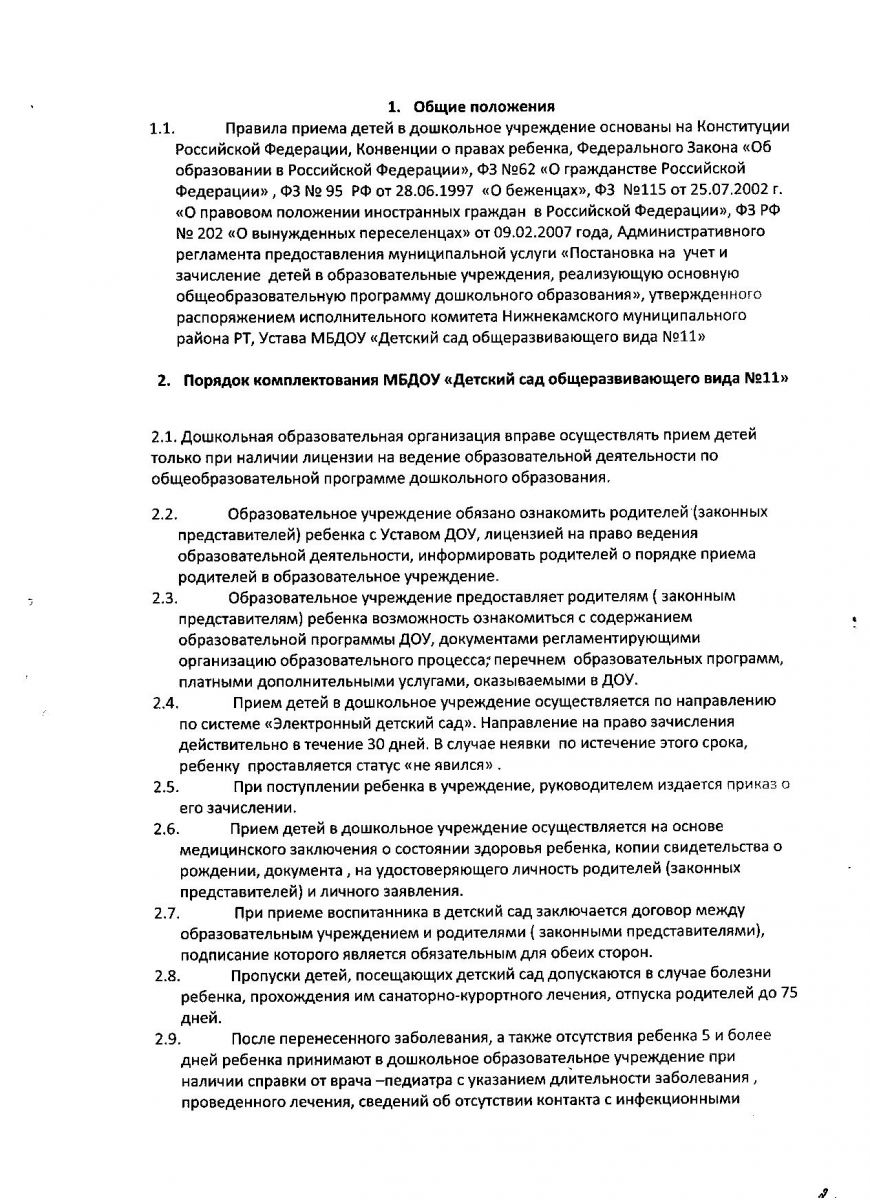
| Адрес: | 423576, Республики Татарстан, г. Нижнекамск, ул. Вокзальная, дом 4 А |
| Телефон: | +7(855)-543-16-36 |
| E-Mail: | Dou11.Nk@tatar.ru |
| Министерство: | Министерство образования и науки Республики Татарстан |
| Короткое название: | МБДОУ "Детский сад общеразвивающего вида №11" |
| Руководитель: | Габидуллина Олеся Валерьевна |
| Год основания учреждения: | 1969 |
| У нас учатся: | 110 |
| У нас учат: | 10 |
ИКТ в целях повышения качества реализации образовательной программы ДОУ
/upload/storage/org4253/files/правила приема воспитанников.jpg
/upload/storage/org4253/files/правила приема воспитанников 001.jpg
/upload/storage/org4253/files/правила приема воспитанников 002.jpg








